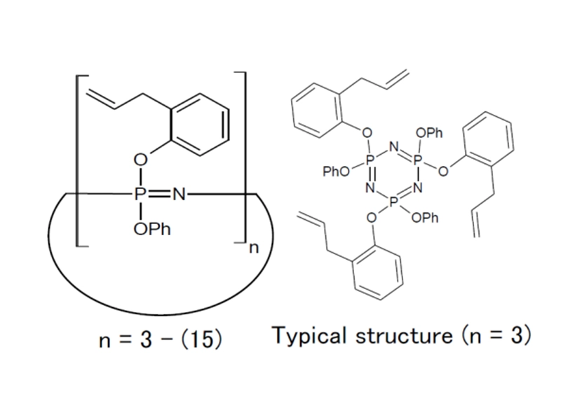
“磷腈阻燃剂SPV系列”是在环状磷腈骨架中导入苯氧基的反应型磷系阻燃剂,适用于环氧树脂等材料。
“磷腈阻燃剂SPV系列”是在环状磷腈骨架中导入苯氧基的反应型磷系阻燃剂,适用于环氧树脂等材料。

特色
1.无卤无锑阻燃剂。
2.与磷酸酯类阻燃剂相比,具有非常优异的耐水解性。
3.5%失重温度>350℃,耐热性高。
4.反应型阻燃剂 ——与缺电子烯烃 (即马来酰亚胺基团)反应。
5.难以从树脂渗出(与单体反应)。
6.不损害树脂的电气性能——适用于电子产品。
7.溶于多种有机溶剂。
物性
外观 | 棕黄色液体 |
熔点 [ºC] | 室温下为液体 |
磷含量[%] | 11 |
5%失重温度 [ºC] | >350 |
溶解性 [w/w%] | 可任意比例混合(in MEK) 可任意比例混合 (in DMF) |